全国2010年4月高等教育自考概率论与数理统计(二)试题
课程代码:02197
一、单项选择题(本大题共10小题,每小题2分,共20分)
在每小题列出的四个备选项中只有一个是符合题目要求的,请将其代码填写在题后的括号内.错选、多选或未选均无分.
1.设
A与
B是任意两个互不相容事件,则下列结论中正确的是( )
A. P(A)=1-P(B)
B. P(A-B)=P(B)
C. P(AB)=P(A)P(B)
D. P(A-B)=P(A)
2.设
A,
B为两个随机事件,且

,则

( )
A. 1
B. P(A)
C. P(B)
D. P(AB)
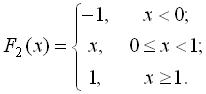
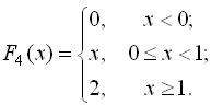
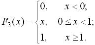
3.下列函数中可作为随机变量分布函数的是( )
A.
B.

C.
D.

4.设离散型随机变量
X的分布律为

则

( )
A.0.3
B.0.4
C.0.6
D.0.7
5.设二维随机变量(
X,
Y)的分布律为( )

且X与Y相互独立,则下列结论正确的是
A.
a=0.2,
b=0.6
B.
a=-0.1,
b=0.9
C.
a=0.4,
b=0.4
D.
a=0.6,
b=0.2
6.设二维随机变量(
X,
Y)的概率密度为

则
P{0>
X<1,0<
Y<1}=( )
A.
B.

C.
D.1
7.设随机变量
X服从参数为

的指数分布,则
E(
X)=( )
A.
B.

C.2
D.4
8.设随机变量
X与
Y相互独立,且
X~
N(0,9),
Y~
N(0,1),令
Z=
X-2
Y,则
D(
Z)=( )
A.5
B.7
C.11
D.13
9.设(
X,
Y)为二维随机变量,且
D(
X)>0,
D(
Y)>0,则下列等式成立的是( )
A.
E(
XY)=
E(
X)·
E(
Y)
B.Cov

C.
D(
X+
Y)=
D(
X)+
D(
Y)
D.Cov(2
X,2
Y)=2Cov(
X,
Y)
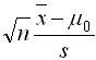
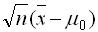
10.设总体
X服从正态分布
N(

),其中

未知,
x1,
x2,…,
x n为来自该总体的样本,

为样本均值,
s为样本标准差,欲检验假设

,则检验统计量为( )
A.
B.

C.
D.

[1]
⊙小编提示:添加【山东自考网】招生老师微信,即可了解2023年山东自考政策资讯、自考报名流程、准考证打印方法、成绩查询时间以及领取历年真题资料、个人专属备考方案等相关信息!

(添加“山东自考网”招生老师微信,在线咨询报名报考等相关问题)
《山东自考网》免责声明:
(一)由于考试政策等各方面情况的不断调整与变化,本网站所提供的考试信息仅供参考,请以省考试院及院校官方发布公布的正式信息为准。
(二)本站文章内容信息来源出处标注为其他平台的稿件均为转载稿,免费转载出于非商业性学习目的,版权归原作者所有。如您对内容、版权等问题存在异议请与本站联系,我们会及时进行处理解决,联系邮箱:812379481@qq.com。