山东自考网 | 网站为考生提供山东自考信息服务,供学习交流使用,非政府官方网站,官方信息以山东省教育招生考试院为准。
| |
微信订阅

山东自考网微信公众号

关注公众号

招生咨询08:00-24:00

微信公众号

咨询老师

微信扫一扫
山东自考网在线咨询电话
【热点】 山东省自考管理系统 成绩查询系统 准考证打印入口 自考日程 免考申请 转考申请 实践考核 毕业申请 学位申请 论文答辩 微信公众号 微信交流群 在线咨询
2018年山东自考高等数学(一)基础知识点(1)

2018年山东自考高等数学(一)基础知识点(1)

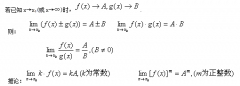
函数极限的运算规则 前面已经学习了数列极限的运算规则,我们知道数列可作为一类特殊的函数,故函数极限的运算规则与数列极限的运算规则相似。 ⑴、函数极限的运算规则 在求函数的极限时,利...

2018-09-11

143

2018年山东自考高等数学(一)考试重点(4)

2018年山东自考高等数学(一)考试重点(4)

五、多元函数微积分学 (一)多元函数微分学 1.知识范围 (1)多元函数 多元函数的定义 二元函数的几何意义 二元函数极限与连续的概念 (2)偏导数与全微分 偏导数 全微分 二阶偏...

2018-09-11

134

2018年山东自考高等数学(一)考试重点(3)

2018年山东自考高等数学(一)考试重点(3)

三、一元函数积分学 (一)不定积分 1.知识范围 (1)不定积分 原函数与不定积分的定义 原函数存在定理 不定积分的性质 (2)基本积分公式 (3)换元积分法 第一换元法(凑微分法...

2018-09-11

90

2018年山东自考高等数学(一)考试重点(2)

2018年山东自考高等数学(一)考试重点(2)

二、一元函数微分学 (一)导数与微分 1.知识范围 (1)导数概念 导数的定义 左导数与右导数 函数在一点处可导的充分必要条件 导数的几何意义与物理意义 可导与连续的关系 (2)求...

2018-09-11

117

2018年山东自考高等数学(一)考试重点(1)

2018年山东自考高等数学(一)考试重点(1)

大纲适用于工学理学(生物科学类、地理科学类、环境科学类、心理学类等四个一级学科除外)专业的考生。 总要求考生应按本大纲的要求,了解或理解高等数学中函数、极限和连续、一元函数微分学、...

2018-09-11

220

2018年山东自考英语(二)考前重点笔记(3)

2018年山东自考英语(二)考前重点笔记(3)

附加疑问句有下列几种形式: (1)肯定陈述句+否定附加成分(附加成分除极为正式场合或老式英语中都要用缩略形式) You sure get to see things differe...

2018-09-11

100

2018年山东自考英语(二)考前串讲:UNIT2-4

2018年山东自考英语(二)考前串讲:UNIT2-4

4、历年试题 1. 星体的密度增大到一定程度时就会发生爆炸。 答: The star will explode when its density increases to some...

2018-09-11

204

2018年山东自考英语(二)考前重点笔记(2)

2018年山东自考英语(二)考前重点笔记(2)

4.带确定数量词的名词词组作主语时的主谓一致 (1)当主语是表示数目、时间、重量、距离等的复数名词时,如果该名词所表示的数量看作一个整体,其后的动词用单数。 Four years ...

2018-09-11

230

2018年山东自考英语(二)考前串讲:UNIT2-3

2018年山东自考英语(二)考前串讲:UNIT2-3

3、习题 Unit 2 练习: 1.词汇英译汉: escape, explode, collapse, shrink, gravity, measurement, basis, l...

2018-09-11

162

  • 首页
  • 22
  • 23
  • 24
  • 末页
  • 37398